MDstuds

2016 - Основна сесія

2016 - Основна сесія
Питань: 200
200:00
Питання 1 з 200
Питання 1
У обстежуваної дитини поганий апетит, нудота. Прийом молока викликає блювання, а періодично - пронос. Спостерігається відставання в рості, втрата ваги, затримка в розумовому розвитку. Недостатність якого ферменту викликає вказану патологію?
Питання 2
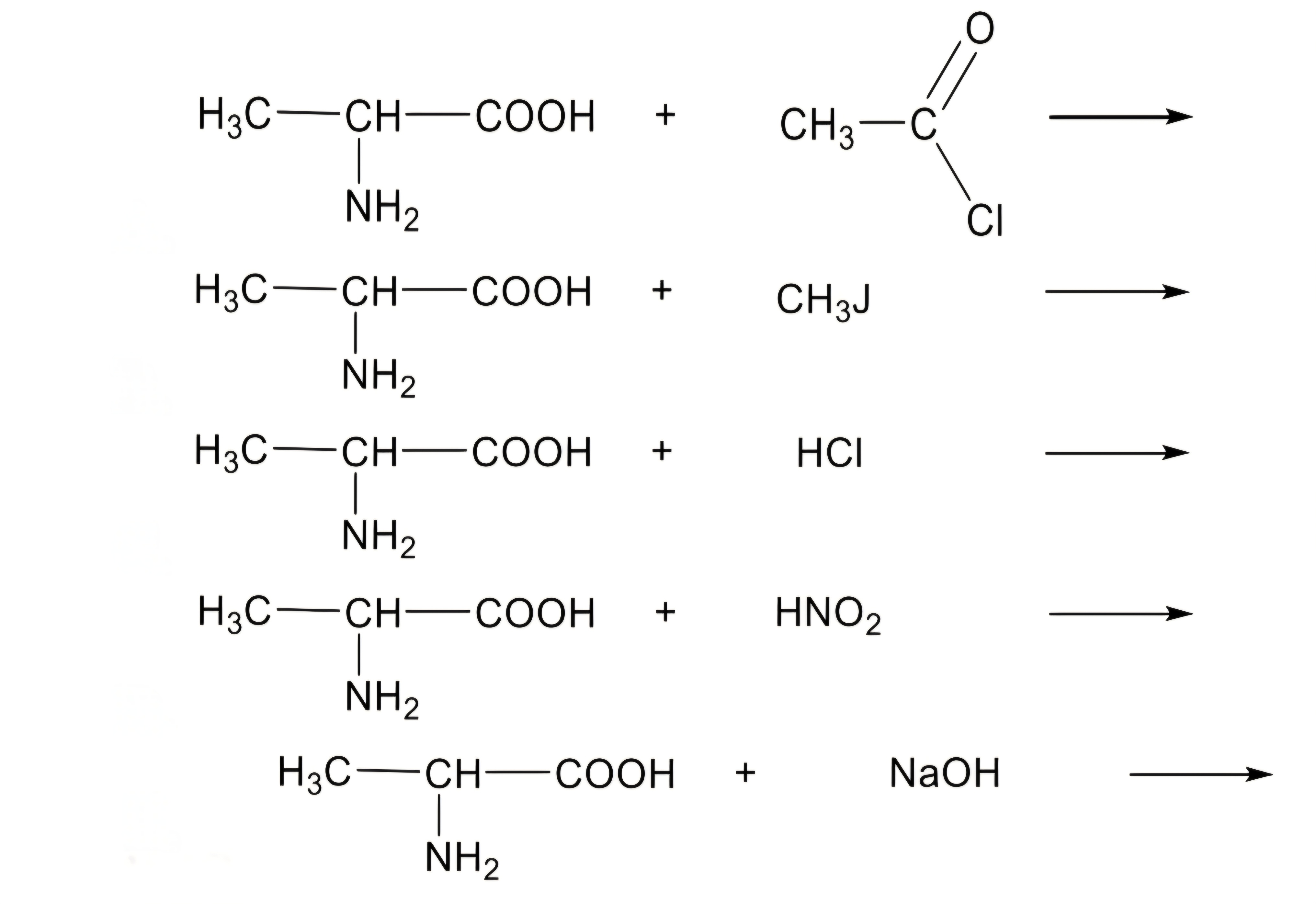
Дослідження крові пацієнта, у якого спостерігається деформація суглобів в результаті запалення, виявило гіперурікемію. Яке захворювання найімовірніше у цього хворого?
Питання 3
Під час бактеріологічного дослідження випорожнень хворого на гостру кишкову інфекцію була виділена культура Shigella sonnei. Яку з названих серологічних реакцій було застосовано для ідентифікації виділеної культури?
Питання 4
Злоякісні пухлини мають цілий ряд морфологічних функціональних відмінностей від доброякісних. Що з нижчеперерахованого характерно тільки для злоякісних пухлин?
Питання 5
Для адсорбції ПАР з неполярного розчинника бензолу найкращим адсорбентом буде:
Питання 6
У хворої 59-ти років при флюорографії виявили в нижній частці правої легені затемнення з чіткими межами, характерне для пухлини. Яка з ознак притаманна для доброякісної пухлини?
Питання 7
Ізоелектричну точку білків можна визначити за залежністю ступеня набрякання високомолекулярнихсполук від рН. В області рН = IЕТ ступінь набрякання білка:
Питання 8
Під час мікроскопії стебла виявлено комплексну тканину, яка складається з ситоподібних трубок з клітинами-супутницями, луб’яних волокон та луб’яної паренхіми. Це:
Питання 9
Зображення до питання
Виберіть назву, яка відповідає формулі:
Питання 10
Пацієнт попередив, що застосовування знеболюючих препаратів може викликати у нього алергічний шок. Збільшення кількості в крові якого біогенного аміну може бути причиною такого стану?
Питання 11
При броматометричному визначенні стрептоциду (первинний ароматичний амін) застосовують пряме титрування стандартним розчином калію бромату. Як індикатор цього титрування застосовують:
Питання 12
Еритроцити для своєї життєдіяльності потребують енергії у вигляді АТФ. Укажіть метаболічний процес, який забезпечує еритроцит необхідною кількістю АТФ:
Питання 13
Хворий скаржиться на біль в епігастрії оперізуючого характеру. При обстеженні виявлено підвищений вміст діастази в сечі, а також неперетравлений жир у калі. Для якої патології найбільш характерні вказані явища?
Питання 14
При змащуванні скипидаром язик у кроля червоніє, його кровонаповнення збільшується. Артеріальна гіперемія якого типу виникає в цьому випадку?
Питання 15
Хворий 67-ми років з хронічною серцевою недостатністю отримує дигоксин. Для зменшення побічної дії дигоксину лікар порадив його комбінувати з:
Питання 16
Як називаються стереоізомери (просторові ізомери), які відносяться один до одного як предмет і його дзеркальне відображення?
Питання 17
У пацієнта з пієлонефритом із сечі виділено синьогнійну паличку, яка виявилась чутливою до гентаміцину при концентрації його в сечі 2 мкг/мл. Який метод дослідження дозволив встановити мінімальну пригнічуючу ріст мікроба концентрацію ( МПК ) антибіотика?
Питання 18
В методі визначення терміну придатності лікарського препарату допускають, що реакція розкладання лікарської речовини є реакцією такого порядку:
Питання 19
Хворому з гіпертонічною хворобою призначено каптоприл. Який механізм дії даного препарату?
Питання 20
Зображення до питання
При повному відновленні піролу одержують:
Питання 21
Знешкодження білірубіну в печінці відбувається шляхом приєднання глюкуронової кислоти. Який фермент печінки каталізує реакцію перетворення непрямого білірубіну на прямий?
Питання 22
Вторинна анатомічна будова кореня у двосім’ядольних рослин знаходиться в зоні:
Питання 23
З якою групою діуретиків НЕ МОЖНА одночасно призначати гіпотензивні засоби, що відносяться до групи інгібіторів ангіотензинперетворюючого ферменту?
Питання 24
Хворому з виразковою хворобою призначено ранітидин. Кислотність шлункового соку значно знизилась. Який механізм лежить в основі дії даного препарату?
Питання 25
В розчині, що аналізується, міститься кальцію хлорид і натрію бромід. Для ідентифікації іону кальцію до розчину, що аналізується, додали розчин:
Питання 26
Порадьте хворій засіб для лікування нападів тахіаритмії:
Питання 27
Для профілактики кашлюка, дифтерії, правця дітям вводять вакцину АКДП. Як називається вакцина, якщо до неї входять мікроорганізми одного із збудників і анатоксини інших?
Питання 28
При порфіріях накопичуються та екскретуються з організму людини порфірини та порфіриногени. З порушенням синтезу якої сполуки пов’язані ці патології?
Питання 29
Який із протигрибкових антибіотиків погано всмоктується у шлунково-кишковому тракті та ефективний при кандидомікозі кишечника?
Питання 30
Встановлено, що у кореневищі та коренях Inula helenium є порожнини без чітких внутрішніх меж, які заповнені ефірними маслами. Це:
Питання 31
При вивчені рослин родини Asteraceae встановлено декілька типів квіток. Який тип квіток НЕ ПРИТАМАННИЙ цим рослинам?
Питання 32
Кофеїн пригнічує активність фосфодіестерази, яка перетворює цАМФ до АМФ. При отруєнні кофеїном найбільш характерним є зниження активності такого процесу:
Питання 33
До лікаря звернувся чоловік зі скаргами на втрату апетиту, біль в животі, температуру 39-40oC та висипи на шкірі живота. Хворому був поставлений діагноз ”черевний тиф”. Реакція пасивної гемаглютинації позитивна з еритроцитарним тифозним Vi-діагностикумом. Про що свідчать отримані результати?
Питання 34
Хворому з гіпотиреозом лікар призначив препарат, який проявляє замісну дію. Який із перелічених препаратів призначив лікар?
Питання 35
Зображення до питання
Вкажіть сполуку, яка виявляє амфотерні властивості, тобто вступає в реакції як з кислотами, так і з основами з утворенням відповідних солей:
Питання 36
Який з псевдомонокарпних однонасінних сухих нерозкривних плодів характерний для видів родини Злакові?
Питання 37
Одним з факторів, що впливають на збільшення виходу лікарської речовини у процесі його синтезу, є зниження енергії активації реакції. Цьому сприяє:
Питання 38
У хворого на цукровий діабет після введення інсуліну розвинулась кома. Вміст цукру крові - 2,35 ммоль/л. Який вид коми має місце?
Питання 39
При обробці рослинних клітин флороглюцином з концентрованою сірчаною кислотою їх оболонки набули малиново-червоного забарвлення, що вказує на їх:
Питання 40
До складу мікстури входять натрію гідрокарбонат, натрію бромід, амонію хлорид. Яким методом можна кількісно визначити натрію гідрокарбонат у суміші?
Питання 41
Для стандартизації титрованого розчину трилону Б використовують стандартний розчин:
Питання 42
Фторид натрію входить до складу препаратів, що застосовують при лікуванні карієсу зубів. З якою із наведених сполук реагує NaF?
Питання 43
При електрофоретичному дослідженні сироватки крові хворого виявили інтерферон. В зоні якої фракції цей білок знаходиться?
Питання 44
Який ненаркотичний протикашльовий препарат центральної дії можна застосовувати при сухому кашлі?
Питання 45
Взаємодія між дисперсною фазою та дисперсійним середовищем для різних систем проявляється не в однаковій мірі. Якщо дисперсна фаза слабо взаємодіє з середовищем, то систему називають:
Питання 46
Чоловік 49-ти років страждає на хронічний гломерулонефрит з нефротичним синдромом. Який провідний механізм розвитку набряків при даній патології?
Питання 47
До лікаря звернувся чоловік 70ти років зі скаргами на збільшення кистей, стоп, язика, збільшення рис обличчя. При обстеженні виявлено значне підвищення концентрації соматотропного гормону у крові. Чим зумовлений даний стан хворого?
Питання 48
В аптеку звернулася жінка зі скаргами на зміну забарвлення сечі на червону. Який протитуберкульозний препарат спричинив таку дію?
Питання 49
Пацієнтці з ревматоїдним артритом та супутньою виразковою хворобою дванадцятипалої кишки необхідно призначити нестероїдний протизапальний препарат. Який препарат є препаратом вибору в даному випадку?
Питання 50
Який катіон III аналітичної групи (кислотно-основнакласифікація) знаходиться у розчині, якщо при нагрівання з гіпсовою водою через деякий час розчин мутніє?
Питання 51
Мікроаналіз кореневища виявив відкриті колатеральні провідні пучки, які розташовані кільцем; це може свідчити про належність рослини до класу:
Питання 52
При мікроскопії стебла квіткової рослини у флоемі виявлений комплекс таких гістологічних елементів: ситоподібні трубки з клітинамисупутницями, луб’яні волокна, луб’яна паренхіма, що характерно для:
Питання 53
Спадкові захворювання можуть бути пов’язані з порушенням структури і кількості хромосом або генів. Яке з перерахованих захворювань відноситься до моногенних?
Питання 54
Після закінчення стерилізації матеріалу для операційної проведено контроль її ефективності. Для цього у стерилізаційну камеру разом з матеріалом були поміщені смужки паперу, на які нанесено:
Питання 55
Зображення до питання
За вказаних умов взаємодія толуолу з хлором призводить до утворення:
Питання 56
Зображення до питання
Продуктом якої реакції буде натрію нікотинат?
Питання 57
Зображення до питання
Укажіть тип таутомерії, характерний для 2- нітропропану :
Питання 58
Для точного обчислення константи швидкості за величиною енергії активації, застосовується стеричний фактор, який враховує:
Питання 59
У контрольно-аналітичній лабораторії хіміку необхідно провести стандартизацію розчину натрію гідроксиду. Який первинний стандартний розчин може бути для цього використаний?
Питання 60
Для серопрофілактики і серотерапії інфекційних захворювань використовують імунні сироватки. Який вид імунітету формується з їх допомогою?
Питання 61
Для кількісного визначення ферум II сульфату методом потенціометричного титрування в якості індикаторного електроду застосовують:
Питання 62
Особливістю вірусів, як інфекційних агентів, є обов’язковий внутрішньоклітинний паразитизм. У зв’язку з цим, який об’єкт НЕ ВИКОРИСТОВУЮТЬ з метою культивації вірусів?
Питання 63
Багато хімічних процесів відбувається за сталих температури і тиску. Яку термодинамічну функцію треба обрати як критерій перебігу самочинного процесу в цих умовах?
Питання 64
Зображення до питання
Барбітурова кислота є найважливішим похідним:
Питання 65
Для купірування нападу стенокардії хворий використовує нітрогліцерин у капсулах. Який раціональний шлях введення цього препарату?
Питання 66
Після застосування фенацетину у пацієнта з’явився гострий біль у горлі, підвищилася температура тіла. Обстеження показало наявність некротичної ангіни і агранулоцитозу. Зменшення кількості яких лейкоцитів характерне для агранулоцитозу?
Питання 67
Ацетилсаліцилову кислоту використовують при лікуванні ревматизму. На який процес впливає ацетилсаліцилова кислота?
Питання 68
Який аналітичний ефект спостерігають при фіксуванні кінцевої точки титрування у методі Фольгарда?
Питання 69
До аптеки надійшов препарат нового покоління нестероїдних протизапальних засобів ”мелоксикам”. Вкажіть, які переваги має даний препарат як переважний блокатор циклооксигенази-2 у порівнянні з іншими нестероїдними протизапальними засобами?
Питання 70
Ізоелектрична точка білка дорівнює 5,7. При якому значенні рН макроіон білка рухається до аноду?
Питання 71
Розчин вінілпіролідону широко застосовується у фармації для пролонгування дії лікарських речовин. Його середньочисельну молекулярну масу можна визначити методом:
Питання 72
У хворого 40-ка років у зв’язку з ураженням гіпоталамо-гіпофізарного провідникового шляху виникла поліурія (10-12 л за добу), полідипсія. При дефіциті якого гормону виникають такі розлади?
Питання 73
Біля місцевості, де планують відкрити дитячий табір для літнього відпочинку, знаходиться колодязь. За яким показником слід оцінювати ступінь біологічного забруднення питної води?
Питання 74
При однаковій температурі дано 5 водних розчинів з молярною концентрацією 0,05 моль/кг. Які з цих розчинів є ізотонічними по відношенню один до одного?
Питання 75
При обстеженні хворого встановлено діагноз: алкаптонурія. Дефіцитом якого ферменту зумовлена ця патологія?
Питання 76
До розчину катіонів V аналітичної групи додали розчин тіоціанату аммонію. Розчин забарвлюється у червоний колір. Які це катіони?
Питання 77
Зображення до питання
Вкажіть сполуку, яку треба використати для отримання оцтового ангідриду з оцтової кислоти:
Питання 78
Для взяття наважки при приготуванні вторинних стандартних розчинів використовують технохімічні терези. Точність зважування на технохімічних терезах:
Питання 79
В умовах аптеки виникла потреба стерилізації рідкої лікарської форми механічним методом. Який апарат використали для цього?
Питання 80
Аналіз шлункового соку має істотне діагностичне значення при захворюваннях шлунка. Яку сполуку використовують як стимулятор секреції шлункового соку при клінічних дослідженнях?
Питання 81
Який засіб краще призначити хворому з діагнозом амебна дизентерія?
Питання 82
Є декілька шляхів знешкодження аміаку в організмі людини, але для окремих органів є специфічні. Для клітин головного мозку характерним шляхом знешкодження аміаку є утворення такої речовини:
Питання 83
Зображення до питання
Із запропонованих реакцій оберіть ту, яка буде перебігати по карбоксильній групі:
Питання 84
Хворому після гострого інфаркту міокарда лікар порекомендував протягом 3-4 місяців приймати ацетилсаліцилову кислоту. На яку дію ацетилсаліцилової кислоти розрахував лікар?
Питання 85
Який місцевий анестетик краще придбати в аптеці для знеболення при екстракції зуба?
Питання 86
Визначення масової частки фармацевтичних препаратів, які містять ароматичну аміногрупу, проводять методом нітритометрії. Який зовнішній індикатор при цьому використовується?
Питання 87
Тип продихового апарату, у якого побічних клітин дві, їх суміжні стінки перпендикулярні продиховій щілині, має назву:
Питання 88
Введення імунних препаратів формує штучний набутий імунітет. Які з нижчеперерахованих препаратів застосовують для створення штучного пасивного імунітету?
Питання 89
Який іон при нагріванні з металевим цинком у кислому середовищі утворює газ - арсин, що викликає появу темної плями на фільтрувальному папері, просоченому розчином нітрату аргентуму:
Питання 90
Стрептоміцин та інші аміноглікозиди, зв’язуючись з 3OS- субодиницею рибосом, попереджають приєднання формілметіоніл-тРНК. Який процес порушується внаслідок цього ефекту?
Питання 91
Хворий 62-х років госпіталізований у кардіологічне відділення у важкому стані з діагнозом: гострий інфаркт міокарда у ділянці задньої стінки лівого шлуночкаі перегородки,набряк легень. Який первинний механізм викликає розвиток набряку легень у пацієнта?
Питання 92
При вивченні рослинної клітини за допомогою електронного мікроскопа виявлено, що цитоплазму від клітинної оболонки відділяє така структура:
Питання 93
У хворого внаслідок значної крововтрати, що становила 40% об’єму крові, виникла анурія. Який провідний механізм її виникнення в даному випадку?
Питання 94
Зображення до питання
Яка з наведених нижче сполук НЕ Є ароматичною?
Питання 95
Кінетику термічного розкладу лікарської речовини досліджують у бомбовому калориметрі. До якого типу відноситься цей процес?
Питання 96
Хворий 52-х років скаржиться на відрижку кислим, печію, нудоту, болі в надчеревній ділянці та закрепи. Яке порушення шлункової секреції, імовірно, є у хворого?
Питання 97
Монокарпні плоди представників родини Fabaceae сухі, багатонасінні, розкриваються по спинному та черевному швах двома стулками. Ця будова характерна для такої структури:
Питання 98
Осаджуваною формою при визначенні іонів Fe2+ в солі Мора за допомогою гравіметричного методу є:
Питання 99
Згідно до вимог Фармакопеї лікарські препарати для місцевого застосування повинні підлягати контролю на ”мікробіологічну чистоту”. Виявлення яких мікроорганізмів свідчить про НЕПРИДАТНІСТЬ цих препаратів для використання з лікувальною метою?
Питання 100
У хворого при обстеженні у периферичній крові виявлено 5% мієлобластів. Ознакою якого захворювання може бути наявність цих клітин?
Питання 101
Для активації та переносу ВЖК через мітохондріальну мембрану потрібні вітаміни та вітаміноподібні сполуки. Вкажіть одну з них:
Питання 102
У листку кропиви дводомної визначені жалкі багатоклітинні волоски. Це є:
Питання 103
З метою мікроскопічного підтвердження діагнозу ”первинний сифіліс” у хворого здійснено забір виділень з виразки. Який вид мікроскопії використовується для виявлення та вивчення рухомості збудника?
Питання 104
У титриметричному аналізі використовують різні способи титрування. Якщо є можливість вибору, то яким методом слід скористатись, щоб одержати точніший результат?
Питання 105
Хворому, у якого діагностовано тромбоз нижніх кінцівок, лікар призначив приймати синкумар, що є антивітаміном K. Який процес гальмується під дією цього препарату?
Питання 106
У хворого 47-ми років з двосторонньою пневмонією виявлено порушення кислотно-основного стану - компенсований газовий ацидоз. Який найбільш імовірний захиснопристосувальний механізм підтримує компенсацію КОС у хворого?
Питання 107
Якому лікарському виду родини Верескові належать листя з наступними морфологічними ознаками: короткочерешкові, довгасто-лінійні, з завернутими донизу краями, зверху шкірясті, блискучі, буровато-зелені, знизу - рудо-повстяні?
Питання 108
Зображення до питання
Яка сполука утворюється в результаті реакції бромування нафталіну?
Питання 109
Встановлено, що надземну частину гороху посівного утримують у просторі вусики, які є видозміною:
Питання 110
Плід цинародій, який складається із соковитого червонуватого гіпантію та справжніх плодиків-горішків, мають види роду:
Питання 111
Фітопатогенні захворювання змінюють фармакологічні властивості рослин. Які мікроорганізми найчастіше викликають такі захворювання?
Питання 112
Ізотонічність - це вимога, яку ставлять до ін’єкційних розчинів та очних крапель. Розчин якої з наведених речовин має найбільший осмотичний тиск при однакових молярній концентрації і температурі?
Питання 113
Технологія виготовлення лікарських препаратів широко використовує явища адсорбції та іонного обміну. Який катіон із водного розчину найкраще адсорбується на негативно заряджених ділянках поверхні адсорбенту:
Питання 114
Зображення до питання
Як називається альдегід наступної будови:
Питання 115
Після приготування живильного середовища, що містить розчини вуглеводів, лаборант провів його стерилізацію. Який спосіб стерилізації був застосований?
Питання 116
У наркоманів після закінчення дії наркотику виникають тяжкі психічні, неврологічні і соматичні порушення. Як називається цей симптомокомплекс?
Питання 117
Пацієнт отримує леводопу у зв’язку з хворобою Паркінсона. Механізм дії цього засобу пов’язаний з тим, що він є:
Питання 118
До клініки поступив потерпілий, який зазнав проникаючого кульового поранення грудної клітки. Діагностовано пневмоторакс. Який вид дихальної недостатності виникає в такому випадку?
Питання 119
У пацієнта з підозрою на анаеробну інфекцію рани необхідно провести бактеріологічне дослідження. Виберіть середовище, на якому можуть розвиватись анаероби:
Питання 120
У пацієнта отруєння морфіном. Який препарат для промивання шлунка показаний?
Питання 121
Для лікування екземи лікар виписав пацієнту лікарський засіб, який слід використати трансдермально. Яка максимальна кількість мікробних тіл допустима у 1 г цього засобу у відповідності з вимогами ВООЗ і Фармакопеї?
Питання 122
В стаціонарі знаходиться хвора на цукровий діабет, у якої після введення інсуліну розвинулась гіпоглікемічна кома. Який лікарський засіб може швидко покращити її стан?
Питання 123
Стебла рослини стеляться по землі і вкорінюються за допомогою додаткових коренів. Про який тип стебла йде мова?
Питання 124
Дефіцит якого вітаміну найбільше буде спричиняти активізацію процесів перекисного окиснення ліпідів?
Питання 125
У хворого 59-ти років, що страждає на цироз печінки, розвинувся геморагічний синдром. Розвиток геморагічного синдрому у даній клінічній ситуації зумовлений зниженням такої функції печінки:
Питання 126
Хворому з гострим бронхітом призначено відхаркувальний засіб, після прийому якого виник бронхоспазм. Який з перерахованих препаратів міг викликати даний побічний ефект?
Питання 127
Зображення до питання
Диметиламін вступає в реакцію з нітритною кислотою за схемою:
Питання 128
Яку сполуку додають при визначенні катіонів кальцію с індикатором мурексидом для створення рН>12?
Питання 129
Досліджена мікориза на коренях дуба являє собою симбіоз:
Питання 130
Глутамінова кислота використовується як фармацевтичний препарат для стимуляції окисних процесів в тканинах мозку. За яким рівнянням можна визначити її поверхневий натяг?
Питання 131
Ліполітичні ферменти ШКТ каталізують гідроліз ліпідів. Вкажіть хімічний зв’язок, який вони розщеплюють:
Питання 132
Підприємство мікробіологічної промисловості випускає препарат, який являє собою живі ліофільно висушені клітини E. coli. Яке найбільш імовірне використання даного препарату?
Питання 133
При однаковій молярній концентрації розчин якої з речовин характеризується мінімальною температурою кристалізації?
Питання 134
α-амінокислоти R − CH(NH2) − COOH відносно легко декарбоксилюються до:
Питання 135
У хворого з артеріальною гіпертензією при обстеженні виявлено розширення меж серця, збільшення ударного і хвилинного об’єму без зміни частоти серцевих скорочень. Отримані зміни параметрів серцевої діяльності необхідно розцінювати як:
Питання 136
Хворий 65-ти років переніс інфаркт міокарда. Через місяць у нього розвинуласьсерцева недостатність. Що зумовило її виникнення?
Питання 137
В перидермі стебла багаторічної рослини виявлені сочевички, які утворюються завдяки діяльності:
Питання 138
За один цикл бета-окиснення жирних кислот у мітохондріях утворюються 1 ФАДН2 і 1 НАДН(Н). Ці коферменти передають атоми Гідроґену на дихальний ланцюг, де утворюється така кількість молекул АТФ:
Питання 139
У Астрагала шерстистоквіткового квітки сидять на вкороченій і потовщеній головній вісі, утворюючи просте суцвіття:
Питання 140
Титрантами методу нейтралізації є стандартні розчини кислот і лугів, які є вторинними стандартними розчинами. Виберіть речовину, за якою стандартизують розчин хлоридної кислоти:
Питання 141
Вкажіть сполуку, яка виявляє найсильніші кислотні властивості:
Питання 142
У хворого на невроз страх, емоційна напруга. Лікар підібрав йому препарат, що знижує ці симптоми. Це:
Питання 143
Назвіть препарат, що звужує зіниці та знижує внутрішньоочний тиск:
Питання 144
З якою метою поряд з використанням групового реактиву III аналітичної групи використовують етиловий спирт?
Питання 145
Для виявлення гліцерину може бути використана реакція дегідратації, в результаті якої утворюється речовина з різким подразнюючим запахом. Ця речовина:
Питання 146
При Аддісоновій (бронзовій) хворобі призначають глюкокортикоїди. З посиленням якого процесу пов’язана їх дія?
Питання 147
З плевральної порожнини хворого отримано ексудат наступного складу: білок - 34 г/л, клітини 3600 в мкл, переважають нейтрофіли, рН- 6,8. Який вид ексудату у хворого?
Питання 148
В ході аналізу катіонів VI аналітичної групи (кислотно-основна класифікація) при дії групового реагенту можна не тільки відокремити групу, але і ідентифікувати іони:
Питання 149
У хлопчика, який захворів на ГРВІ, при вимірюванні температури тіла протягом доби показники коливались в межах 38-39oC. Який вид гарячки за ступенем підйому температури спостерігається?
Питання 150
Зображення до питання
Серед наведених сполук ацилюючим реагентом є:
Питання 151
При визначенні загальної твердості води лаборант застосовує індикатор еріохром чорний Т. Вкажіть, яким методом проводилося визначення:
Питання 152
Використання активованого вугілля для очистки антибіотиків зумовлене процесом самовільної зміни концентрації компонентів у поверхневому шарі водних розчинів, у порівнянні з об’ємом фази. Цей процес називається:
Питання 153
У хворого з високою температурою тіла, вираженими болями у горлі під час ковтання, діагностована ангіна. Які з вказаних симптомів відносяться до місцевих ознак гострого запалення?
Питання 154
Під час огляду хворого невропатологом встановлено наявність атаксії. Визначте ознаки, які притаманні даному порушенню нервової системи:
Питання 155
У потрійній точці на діаграмі стану води:
Питання 156
При досліджені лікарського збору на поживному середовищі виросла культура у вигляді чорного пухнастого нальоту. У препаратах-мазках виявлені несептовані нитки міцелію з кулеподібними потовщеннями на кінцях. Назвіть ці мікроорганізми:
Питання 157
Пацієнт 68-ми років звернувся до кардіолога із скаргами на підвищення АТ до 160/100 мм рт.ст., біль в ділянці серця, відчуття перебоїв у роботі серця. Порекомендуйте препарат з групи β1-адреноблокаторівдля лікування даної патології:
Питання 158
До розчину катіонів V аналітичної групи додали аміачний буфер та розчин 8-оксихіноліну. Утворився осад жовто-зеленого кольору. Які це катіони?
Питання 159
Зображення до питання
Яка із наведених речовин реагує з Сu(OH)2?
Питання 160
Зображення до питання
Яка з наведених схем реакцій є реакцією нуклеофільного заміщення (SN) ?
Питання 161
Йоном-коагулятором буде та частинка, яка має заряд:
Питання 162
При кондуктометричному титруванні суміші кислот HCl і CH3COOH 0,1М розчином NaOH вимірюють:
Питання 163
У вагітної жінки виникла гостра стрептококова пневмонія. Який з наведених антибактеріальних засобів можна призначати в період вагітності?
Питання 164
Коагулююча здатність електролітів по відношенню до деяких золів зменшується у такій послідовності: (NH4)3PO4, (NH4)2SO4, NH4NO3. Який знак заряду має колоїдна частинка?
Питання 165
Стандартні умови визначаються наступними значеннями тиску та температури (параметрами стану):
Питання 166
Гіперхромна анемія - хвороба Бірмера - виникає внаслідок нестачі вітаміну B12. Який біоелемент входить до складу цього вітаміну?
Питання 167
Хворому 37-ми років з метою комплексного лікування виразкової хвороби шлунка було призначено препарат, що знижує кислотність шлункового соку, інгібує H+, K+АТФ-азу, знижує об’єм шлункової секреції і виділення пепсиногену. Відноситься до проліків. Назвіть препарат:
Питання 168
Назвіть провідний механізм протиатеросклеротичної дії клофібрату ( фенофібрату ):
Питання 169
Зображення до питання
При взаємодії речовин за схемою
Питання 170
Встановлено, що генетичну основу позахромосомної стійкості визначають елементи, що містять гени, які зумовлюють резистентність клітини до різних лікарських засобів, перш за все до антибіотиків. Які саме?
Питання 171
Зображення до питання
Вкажіть, яка з наведених реакцій називається реакцією В’юрця:
Питання 172
Вітамін B6 входить до складу коферменту піридоксальфосфату (ПАЛФ). Які реакції протікають за участю ПАЛФ?
Питання 173
Зображення до питання
Наведена схема отримання нітроалканів називається реакцією:
Питання 174
Зображення до питання
Кінцевим продуктом розпаду білків в організмі людини є сечовина. До якого класу органічних сполук вона відноситься?
Питання 175
Зображення до питання
Який з перерахованих реактивів використовується у даній реакції?
Питання 176
Після споживання високовуглеводної їжі спостерігається аліментарна гіперглікемія. Активність якого ферменту гепатоцитів при цьому індукується у найбільшій мірі?
Питання 177
Під час збирання лікарської сировини виявилося, що в неї виражена мозаїчність листя. Які мікроорганізми спричиняють це захворювання?
Питання 178
Листки Aesculus hippocastanum складаються з 5-7 сидячих листочків, довгасто-обернено-яйцеподібних, зубчасто-пилчастих, прикріплених до черешка (рахіс листка), а отже називаються:
Питання 179
Який порядок має проста реакція складена за схемою А + B= 2C ?
Питання 180
Молоді листки евкаліпту кулястого супротивні, м’які, яйцеподібні із серцевидною стеблообгортною основою; старі листки почергові, шкірясті, вузьколанцетні, з коротким черешком. Як називається таке явище?
Питання 181
Зображення до питання
Вкажіть речовину, що утворюється при здійсненні даної реакції:
Питання 182
Хворий потрапив до лікарні з кишковою кровотечею. Який препарат треба включити до схеми лікування?
Питання 183
Для стандартизації розчину натрію тіосульфату використовують розчин калію дихромату. При цьому проводять:
Питання 184
На підприємстві для специфічної профілактики грипу у співробітників використали вакцину ”Інфлювак”. Який вид імунітету буде сформований в організмі вакцинованих?
Питання 185
Внутрішньоклітинний метаболізм гліцерину починається з його активації. Яка сполука утворюється в першій реакції його перетворення?
Питання 186
Збудники кишкових ієрсиніозів здатні розмножуватись при температурі холодильника, що може спровокувати інфікування людини. До якого типу за температурним оптимумом належать ці мікроорганізми?
Питання 187
Із сечі хворого на пієлонефрит виділені мікроорганізми, що утворюють на МПА колонії жовто-зеленого кольору і мають характерний запах. Який це мікроорганізм?
Питання 188
Препарована квітка, в якої оцвітина редукована до плівок, 3 тичинки на довгих тичинкових нитках, маточка з 2-лопатевою перистою приймочкою, що характерно для:
Питання 189
Зображення до питання
Молекула мальтози (солодового цукру) складається з двох залишків:
Питання 190
Вкажіть препарат, що має аналептичну та психостимулюючу дію:
Питання 191
Для гравіметричного визначення сульфат-іонів у якості осадителя використовують розчин:
Питання 192
Кількісний вміст KOH та K2CO3 у суміші можна визначити методом:
Питання 193
У крові хворого виявлено: ер.1,5 • 1012/л, Нb- 60 г/л, колірний показник - 1,4, лейкоцити - 3,0 • 10 9/л, тромбоцити - 1,2 • 10 10/л, ретикулоцити - 0,2%. У мазку крові тільця Жоллі, кільця Кебота, мегалоцити. Який вид анемії у хворого?
Питання 194
Приготували 0,1М розчин арґентуму нітрату. Вкажіть речовину-стандарт для стандартизації цього розчину:
Питання 195
При вивченні мазку з вмісту карбункула виявлені великі грампозитивні палички з обрубаними кінцями, розташовані у вигляді ланцюгів, оточені загальною капсулою. Який попередній діагноз?
Питання 196
Кров являє собою складну ліофілізовану дисперсну систему, в якій роль дисперсійного середовища відіграє плазма, а розміри частинок дисперсної фази лежать в інтервалі 2-13 мкм. Цю фракцію крові можна охарактеризувати як:
Питання 197
Характерною реакцією виявлення катіонів ртуті (II) є реакція з калію йодидом. При проведенні реакції спостерігають:
Питання 198
До приймального відділення був доставлений хворий зі скаргами на утруднене дихання, слинотечу, спастичні болі у животі, діарею, запаморочення, зниження гостроти зору. Був встановлений діагноз: отруєння фосфорорганічними сполуками. Які препарати доцільно включити до патогенетичної терапії?
Питання 199
Спеціаліст для кількісного визначення хлорид-іонів в лікарському препараті використав метод Мора. Кінцева точка титрування була зафіксована за утворенням цегляночервоного осаду, який утворений такою сполукою:
Питання 200
Зображення до питання
За замісною номенклатурою IUPAC нікотинова кислота має назву: